Logo Bundesministerium der Justiz und für VerbraucherschutzLogo Bundesamt für Justiz
Nichtamtliches Inhaltsverzeichnis

Verordnung über die Ermittlung und Bekanntgabe der Sätze zur Abzinsung von Rückstellungen (Rückstellungsabzinsungsverordnung - RückAbzinsV)
§ 6 Berechnung des Aufschlags

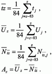
Zur Berechnung des Aufschlags wird die Rendite des Unternehmensanleihenindexes über die vergangenen 84 Monatsendstände arithmetisch gemittelt. Weiterhin wird die durchschnittliche Laufzeit der im Index enthaltenen Anleihen über den gleichen Zeitraum berechnet. Für diese durchschnittliche Laufzeit wird der Null-Kupon-Swapsatz ermittelt (bei nicht ganzjährigen Laufzeiten durch lineare Interpolation), auch dieser aus dem arithmetischen Mittel der letzten 84 Monatsendstände der Swapsätze. Dann wird der Abstand zwischen der gemittelten Unternehmensanleihenrendite und dem laufzeitgleichen gemittelten Null-Kupon-Swapsatz berechnet. Dieser Abstand erhöht als Aufschlag die gemittelte Null-Kupon-Euro-Zinsswapkurve über deren gesamte Laufzeit. Dabei sind Uz die Rendite des Unternehmensanleihenindexes, tz die durchschnittliche Laufzeit der Anleihen des Indexes und Ntz der Null-Kupon-Swapsatz mit Laufzeit t zum Zeitpunkt z.Der Aufschlag (Az) ergibt sich wie folgt:



Der Abzinsungszinssatz mit Laufzeit t zum Zeitpunkt z (AStz) ergibt sich dann als Summe vom jeweiligen gemittelten Null-Kupon-Swapsatz und dem für diesen Zeitpunkt einheitlichen Aufschlag: