(Fundstelle: BAnz AT 29.10.2021 V2)
Qualitätsparameter für EETS-Anbieter
Vertragliche Bestimmungen zur Messung und Bewertung der einzelnen Qualitätsparameter (QP)
| Inhaltsverzeichnis |
| 1. | Vorbemerkungen |
| 2. | Allgemeine Bestimmungen |
| 3. | Bestimmungen zu den Qualitätsparametern |
| 3.1 | Erfassungsquote EQ |
| 3.1.1 | Messdatenerhebung |
| 3.1.2 | Berechnung der Erfassungsquote |
| 3.1.3 | Messdatenauswertung |
| 3.2 | DSRC-Quote (QP_DSRCTRANS) |
| 3.2.1 | Messdatenerhebung und Messdatenauswertung |
| 3.3 | Sperrlistenquote (QP_SPERRLISTE) |
| 3.3.1 | Messdatenerhebung und Messdatenauswertung |
| 3.4 | Nutzerlistenquote (QP_NUTZERLISTE) |
| 3.4.1 | Messdatenerhebung und Messdatenauswertung |
| 3.5 | Fahrspurquote (QP_FS) |
| 3.6 | Übermittlung von Tagesberichten |
| 4. | Bestimmungen zu den Audits |
1. Vorbemerkung
Die folgenden Regelungen definieren vertragliche Bestimmungen für den Vertrag des Mauterhebers mit einem EETS-Anbieter hinsichtlich der Sicherstellung der Qualitätsanforderungen, die in den Gebietsvorgaben festgelegt wurden und das Leistungssoll beschreiben. Zur kontinuierlichen Überprüfung der Qualität des Systems des EETS-Anbieters werden täglich die Übertragung von Maut- und Auskehrdaten und die Einhaltung von Qualitätsparametern geprüft und ggf. auch Audits durchgeführt.
2. Allgemeine Bestimmungen
- 1.
Der EETS-Anbieter hat dem Mauterheber jegliche Auskünfte in Zusammenhang mit den von ihm betriebenen Systemen zu erteilen, entsprechende Erklärungen und Berichte abzugeben und auf Aufforderung Dritte, die in die Zertifizierung oder den Betrieb der Qualitätssicherungs- und Qualitätsmanagementsysteme eingebunden sind, zum Beispiel weil sie Zertifizierungen durchführen, zur unbeschränkten, direkten Auskunft gegenüber dem Mauterheber und von ihm benannte Dritten zu verpflichten. Auf Aufforderung durch den Mauterheber hat der EETS-Anbieter Auditoren entsprechende – soweit aus Sicht des Mauterhebers erforderlich auch unbeschränkte – Einsicht in seine für die Erbringung der Leistung betriebenen Systeme, soweit diese zur Erfüllung der Gebietsvorgaben eingesetzt werden, zu gewähren.
- 2.
Der EETS-Anbieter erbringt gemäß seiner Verantwortlichkeit sein Leistungssoll qualitativ und quantitativ so vollständig, dass er die Erreichung der in diesem Vertrag vereinbarten Qualitätsanforderungen an die zu erbringende Leistung sicherstellt.
3. Bestimmungen zu den Qualitätsparametern
Die folgenden definierten Qualitätsparameter werden entsprechend dieser Anlage (Anlage 5 zum EETS-Zulassungsvertrag) berechnet und überwacht. In dieser Anlage und im EETS-Zulassungsvertrag § 27 „Vertragsstrafen“ und § 28 „Laufzeit und Beendigung des Vertrages“ werden konkret die Auswirkungen hinsichtlich der Erfüllung und Überschreitung bzw. Nicht-Erfüllung der Qualitätsparameter beschrieben und bestimmt.
Folgende Qualitätsparameter werden zur Überwachung der Erfüllung des Leistungssolls herangezogen.
3.1 Erfassungsquote EQ
Die Erfassungsquote EQ dient der Bestimmung der Qualität der korrekten Mauterhebung für Befahrungen des mautpflichtigen Straßennetzes, bezogen auf den vom EETS-Anbieter zu verantwortenden Anteil der Mauterhebung.
Es wird zunächst für jedes Bordgerät eine individuelle Erfassungsquote EQ_OBU ermittelt. Die Bordgeräte werden daraufhin in zwei Kategorien unterteilt: K_EP und K_MED. Bordgeräte, deren EQ_OBU unter einem definierten Grenzwert liegen, werden in die Kategorie K_EP eingruppiert, alle anderen Bordgeräte in die Kategorie K_MED.
Bei Bordgeräten der Kategorie K_EP wird davon ausgegangen, dass nicht oder nicht korrekt erfolgte Mauterhebungen durch die Qualität des Bordgeräts verursacht wurden. Diese werden als vom EETS-Anbieter zu verantwortende Fehler der Mauterhebung betrachtet.
Bei Bordgeräten der Kategorie K_MED wird davon ausgegangen, dass nicht oder nicht korrekt erfolgte Mauterhebungen durch die Qualität des Mauterhebungsdienstes verursacht wurden. Fehler, die bei den Bordgeräten der Kategorie K_MED auftreten, werden als vom Mauterhebungsdienst zu verantwortende Fehler betrachtet.
Die Erfassungsquote EQ sowie die individuelle Erfassungsquote je OBU EQ_OBU werden gleichermaßen wie folgt berechnet:
EQ bzw. EQ_OBU = 0,9 * FM + 0,1 * FS
mit
FM (Fremdauslesung mobil): DSRC-Auslesungen mit mobilen Kontrolleinrichtungen
FS (Fremdauslesung stationär): DSRC-Auslesungen mit ortsgebundenen (stationären) Kontrolleinrichtungen
Für die Ermittlung der Teilquoten FM und FS gilt:
MFMinkorrekt: Anzahl der in der Stichprobe mit mobilen Kontrollen erfassten nicht korrekt vorgenommenen Mauterhebungen im automatischen Mauterhebungssystem.
MFMgesamt: Anzahl der in der Stichprobe mit mobilen Kontrollen erfassten korrekt und nicht korrekt vorgenommenen Mauterhebungen im automatischen Mauterhebungssystem.
MFSinkorrekt: Anzahl der in der Stichprobe mit (stationären) Kontrollen erfassten nicht korrekt vorgenommenen Mauterhebungen im automatischen Mauterhebungssystem.
MFSgesamt: Anzahl der in der Stichprobe mit (stationären) Kontrollen erfassten korrekt und nicht korrekt vorgenommenen Mauterhebungen im automatischen Mauterhebungssystem.
3.1.1 Messdatenerhebung
Die Datenerhebung erfolgt durch DSRC-Auslesung der in den kontrollierten Fahrzeugen angebrachten EETS-Fahrzeuggeräte. Die Stichprobe besteht aus allen mit einem EETS-Fahrzeuggerät ausgestatteten Fahrzeugen, bei denen eine DSRC-Auslesung erfolgreich durchgeführt wurde und bei denen ein mautpflichtiger Abschnitt durch den Mauterheber eindeutig bestimmt werden kann. Die Stichprobe besteht des Weiteren nur aus jenen Fahrzeugen, in denen das EETS-Fahrzeuggerät Erhebungsbereitschaft anzeigt. Die Ermittlung der Erfassungsquote EQ erfolgt auf der Basis von Daten, die im Rahmen der Kontrolle im gesamten mautpflichtigen Streckennetz erhoben werden.
3.1.2 Berechnung der Erfassungsquote
Für jedes Bordgerät des EETS-Anbieters wird für den jeweiligen Betrachtungszeitraum eine individuelle Erfassungsquote EQ_OBU gemäß obiger Formel ermittelt. Ist die individuelle Erfassungsquote eines Bordgeräts im jeweiligen Betrachtungszeitraum kleiner als 95 %, so wird das Bordgerät in die Kategorie K_EP eingruppiert, andernfalls in die Kategorie K_MED.
Die Erfassungsquote EQ für den EETS-Anbieter errechnet sich aus der obigen Formel, wobei für die Anzahl der inkorrekten Messfälle MFMinkorrekt und MFSinkorrektnur die inkorrekten Mauterhebungen der Bordgeräte der Kategorie K_EP berücksichtigt werden. In die Ermittlung der Anzahl der gesamten Messfälle MFMgesamt und MFSgesamt gehen die Messfälle aller Bordgeräte des EETS-Anbieters unabhängig von ihrer Kategorie ein.
3.1.3 Messdatenauswertung
Eine Mauterhebung gilt für die Ermittlung der EQ bzw. EQ_OBU bezogen auf den vom EETS-Anbieter zu verantwortenden Anteil als korrekt, wenn
- 1.
für das Fahrzeug, das von der Kontrolleinrichtung mittels DSRC identifiziert wurde, der tatsächlich befahrene Abschnitt, der aufgrund der für die Kontrolleinrichtung festgestellten Positionsdaten ermittelt wurde, dem Abschnitt in den abschnittsbezogenen Erhebungsdaten entspricht, der vom Mauterheber inklusive eventueller Lückenschlüsse erkannt wurde (wobei mögliche Abweichungen des DSRC-Kennzeichens zum tatsächlich am Fahrzeug angebrachten Kennzeichen nicht berücksichtigt werden; Maut von Falschdeklarierern gilt im Rahmen der Ermittlung der Erfassungsquote EQ als korrekt erhoben), oder
- 2.
der EETS-Anbieter nachweist (zum Beispiel durch Mautbuchungsnachweise), dass ein Fahrzeug durch die Kontrolleinrichtung mittels DSRC in Gegenrichtung auf einer Bundesstraße fahrend identifiziert wurde und dafür in den Mautbuchungsnachweisen des Mauterhebers ebenfalls der korrekte Abschnitt zugeordnet wurde, oder
- 3.
nur für den Fall der Ermittlung der EQ das Bordgerät der Kategorie K_MED zugeordnet wurde.
Sind die Bedingungen nach Satz 1 nicht erfüllt, so gilt die Mauterhebung bezogen auf den vom EETS-Anbieter zu verantwortenden Anteil als nicht korrekt. Ausgenommen sind diejenigen Fälle, in denen der Mautpflichtige nachweislich gegen seine Mitwirkungspflicht verstoßen oder eine unerlaubte Manipulation vorgenommen hat. Die Beweislast dafür liegt beim EETS-Anbieter.
Die Erfassungsquote EQ wird für jeden Kalendermonat durch den Mauterheber als Zwischenergebnis ermittelt und auf drei Stellen nach dem Komma kaufmännisch gerundet. Die Messdatenauswertung erfolgt durch den Mauterheber. Der Mauterheber stellt dem EETS-Anbieter spätestens 30 Tage nach Ende des Kalendermonats die ermittelte Erfassungsquote EQ sowie Informationen und die zugrunde gelegten eigenen Daten zu den, bezogen auf den vom EETS-Anbieter zu verantwortenden Anteil der Mauterhebung, identifizierten Schlechtfällen zur Verfügung. Der EETS-Anbieter kann diese Informationen und Daten prüfen und dem Mauterheber das Ergebnis seiner Prüfung sowie eventuelle Einwendungen innerhalb von 30 Tagen nach Übermittlung der Ergebnisse durch den Mauterheber seinerseits übermitteln. Einwendungen gegen das vom Mauterheber übermittelte Ergebnis sind nur insoweit zulässig, als der EETS-Anbieter nachweist, dass die Ermittlung der Erfassungsquote EQ entgegen den Vorgaben dieses Anhangs QP sowie ggf. entgegen der Verfahrensbeschreibung erfolgt ist oder die zugrunde gelegten eigenen Daten des Mauterhebers unrichtig sind. Der Mauterheber prüft seinerseits das Ergebnis der Prüfung durch den EETS-Anbieter innerhalb von weiteren 30 Tagen nach Übermittlung und stellt die Erfassungsquote EQ für den jeweiligen Kalendermonat endgültig fest und übermittelt diese Feststellung in Form eines Berichts.
Basierend auf den Positionsdaten der Kontrolleinrichtung wird jedem erhobenen Messfall ein Abschnitt zugeordnet. Ist keine eindeutige Zuordnung zu einem Abschnitt möglich, so wird der zugehörige Messfall verworfen.
Der Mauterheber behält sich vor, weitere Details der praktischen Umsetzung der Messdatenauswertung in einer verbindlichen Verfahrensbeschreibung festzulegen, die sich innerhalb des in diesem Anhang QP vorgegebenen Rahmens bewegt.
Der EETS-Anbieter muss einen Zielwert für die Erfassungsquote EQ von mindestens 99,600 % erreichen. Der Bonussatz für die Berechnung des Bonus gemäß EETS-Zulassungsvertrag Anlage 9 Ziffer 1.4 beträgt 15,625 %.
Unterschreitet der EETS-Anbieter einen Zielwert von 95,000 % innerhalb eines Kalenderjahres in mehr als zwei Monaten oder in zwei aufeinanderfolgenden Monaten, so ist der Mauterheber berechtigt, den Vertrag mit dem EETS-Anbieter zu kündigen (§ 28 Absatz 3 Satz 2 Nummer 16 des EETS-Zulassungsvertrags).
Wird die Erfassungsquote EQ in Höhe von 99,600 % nicht erreicht, verwirkt der Anbieter eine Vertragsstrafe in Höhe von 0,050 % der ausgekehrten Mauteinnahmen im relevanten Betrachtungszeitraum je angefangenem Zehntelprozentpunkt der Unterschreitung des Zielwerts der Erfassungsquote EQ. Der relevante Betrachtungszeitraum umfasst das Kalenderjahr. Die ausgekehrten Mauteinnahmen (ME) im relevanten Betrachtungszeitraum t sind wie folgt zu ermitteln:
- MEt =
WZt – Rt – Zt
- WZt =
auf dem Konto des Mauterhebers gemäß § 5 des EETS-Zulassungsvertrags und gemäß den Vorgaben der EEMD-Gebietsvorgabenverordnung in Summe wertgestellte Zahlungen in Euro im Betrachtungszeitraum
- Rt =
Betrag in Euro der gemäß Anlage 9 Nummer 1.3 des EETS-Zulassungsvertrags positiv beschiedenen Erstattungsverlangen im Betrachtungszeitraum
- Zt =
Betrag in Euro der im Betrachtungszeitraum vom EETS-Anbieter ausgekehrten Verzugszinsen
Der Betrachtungszeitraum umfasst das Kalenderjahr. Sofern ein relevanter Betrachtungszeitraum nicht das gesamte Kalenderjahr umfasst, wird die Vertragsstrafe monatsgenau anteilig verwirkt (pro rata temporis).
3.2 DSRC-Quote (QP_DSRCTRANS)
Ziel der Quote ist die Messung der korrekten DSRC Kommunikation zwischen den EETS-Fahrzeuggeräten mit den automatischen Kontrolleinrichtungen des Mauterhebers, wobei alle abrechnungsrelevanten Daten (Fahrzeugparameter und Vertragsparameter) korrekt und vollständig übermittelt werden müssen.
Die Quote QP_DSRCTRANS wird mit folgender Formel erhoben:
 |
| Für den betrachteten Zeitraum und für die betrachteten Streckenabschnitte: |
| K = Anzahl der abschnittsbezogenen Erhebungsdatensätze (ABED), zu denen ein passender DSRC-Datensatz vorliegt. |
| ED = Anzahl der beim Mauterheber vorliegenden abschnittsbezogenen Erhebungsdatensätze von Streckenabschnitten, in denen zum Zeitpunkt der Befahrung automatische Kontrolleinrichtungen im Einsatz waren. |
Für die Bestimmung passender Datensätze werden die Bordgeräte-ID, der Kontrollort (mautpflichtiger Streckenabschnitt, identifiziert durch Abschnitts-ID) und die Kontrollzeit (Datum und Uhrzeit; entspricht der Nutzungszeit) unter Verwendung einer gewissen zeitlichen Toleranz (Ausgangswert zehn Minuten) herangezogen. Der Mauterheber stellt sicher, dass nur automatische Kontrolleinrichtungen für die Betrachtung herangezogen werden, die dem Mauterheber durch den jeweiligen technischen Betreiber der Kontrolleinrichtung als betriebsbereit gemeldet wurden.
3.2.1 Messdatenerhebung und Messdatenauswertung
Die Durchführung von Messungen erfolgt durch den Mauterheber automatisiert anhand der bei ihm vorliegenden Daten (ABED via Schnittstelle SST 006 und DSRC-Daten von den Kontrolleinrichtungen). Die Messdatenerhebung erfolgt nicht anhand einer Stichprobe, sondern es werden alle in einem Kalendermonat oder in einem vertraglich relevanten Betrachtungszeitraum gelieferten Datensätze in die Messdatenerhebung einbezogen.
Für alle berücksichtigten ABED werden zugehörige DSRC-Datensätze gesucht,
- 1.
mit übereinstimmender Fahrzeuggeräte-ID
- 2.
mit übereinstimmendem Kontrollort (mautpflichtiger Abschnitt, identifiziert durch die Abschnitts-ID)
- 3.
mit übereinstimmender Uhrzeit, wobei für die Suche eine Toleranz von ± zehn (10) Minuten zu Anwendung kommt.
Als Gutfälle fließen in die Größe K alle aufgefundenen zugehörigen DSRC-Datensätze ein, die vollständig abgeschlossen wurden. Fehlende, nicht abgeschlossene und unvollständige DSRC-Datensätze fließen nicht als Gutfälle ein.
Bei der Ermittlung der Variable ED fließen keine Fälle auf mautpflichtigen Abschnitten ein, bei denen die Möglichkeit besteht, dass ein Fahrzeug eine Teilbefahrung ausführt und dabei nicht die auf diesem Abschnitt befindliche automatische Kontrolleinrichtung passiert. Zusätzlich fließen bei Kontrollsäulen keine Fälle ein, bei denen aufgrund der Geometrie des Abschnitts und der technischen Eigenschaften und Position der Kontrollsäule die Möglichkeit besteht, dass Fahrzeuge, die die Kontrollsäule nicht auf dem unmittelbar neben der Kontrollsäule befindlichen Fahrstreifen passieren, nicht erfasst werden können.
Die Quote QP_DSRCTRANS wird für jeden Kalendermonat durch den Mauterheber als Zwischenergebnis ermittelt und auf drei Stellen nach dem Komma kaufmännisch gerundet. Die Messdatenauswertung erfolgt durch den Mauterheber. Der Mauterheber stellt dem EETS-Anbieter spätestens 30 Tage nach Ende des Kalendermonats die ermittelten DSRC-Quoten sowie Informationen und die zugrunde gelegten eigenen Daten zu identifizierten Schlechtfällen zur Verfügung. Der EETS-Anbieter kann diese Informationen und Daten prüfen und dem Mauterheber das Ergebnis seiner Prüfung sowie eventuelle Einwendungen innerhalb von 30 Tagen nach Übermittlung der Ergebnisse durch den Mauterheber übermitteln. Einwendungen gegen das vom Mauterheber übermittelte Ergebnis sind nur insoweit zulässig, als der EETS-Anbieter nachweist, dass die Ermittlung der Quoten entgegen den Vorgaben dieses Anhangs QP sowie ggf. der Verfahrensbeschreibung erfolgt ist oder die zugrunde gelegten eigenen Daten des Mauterhebers unrichtig sind. Der Mauterheber wird das Ergebnis der Prüfung durch den EETS-Anbieter innerhalb von weiteren 30 Tagen prüfen und die Quoten für den jeweiligen Kalendermonat endgültig feststellen und in Form eines Berichts übermitteln.
Der Mauterheber behält sich vor, weitere Details der praktischen Umsetzung der Messdatenerhebung und Messdatenauswertung in einer verbindlichen Verfahrensbeschreibung festzulegen, die sich innerhalb des in diesem Anhang QP vorgegebenen Rahmens bewegt.
Der EETS-Anbieter muss einen Zielwert für die Quote QP_DSRCTRANS von mindestens 98,500 % erreichen. Falls der EETS-Anbieter einen Zielwert von 96,000 % innerhalb eines Kalenderjahres in mehr als zwei Monaten oder in zwei aufeinanderfolgenden Monaten unterschreitet, ist der Mauterheber berechtigt, den Vertrag mit dem EETS-Anbieter zu kündigen (§ 28 Absatz 3 Satz 2 Nummer 17 EETS-Zulassungsvertrag).
Wird die DSRC-Quote in Höhe von 98,500 % nicht erreicht, dann wird eine Vertragsstrafe wie folgt festgelegt:
Pro angefangenem Zehntelprozentpunkt Unterschreitung des Zielwertes von 98,500 % im relevanten Betrachtungszeitraum wird eine Vertragsstrafe in Höhe von 10 000 Euro verwirkt. Der relevante Betrachtungszeitraum umfasst das Kalenderjahr. Sofern der vertraglich relevante Betrachtungszeitraum nicht das gesamte Kalenderjahr umfasst, wird die Vertragsstrafe monatsgenau anteilig verwirkt (pro rata temporis).
Sofern die Quote QP_DSRCTRANS in einem relevanten Betrachtungszeitraum durch den Mauterheber nicht festgestellt werden konnte, entfällt für diesen relevanten Betrachtungszeitraum die Möglichkeit der Verhängung von Vertragsstrafen in Bezug auf die Quote QP_DSRCTRANS oder einer Kündigung gemäß § 28 Absatz 3 Satz 2 Nummer 17 EETS-Zulassungsvertrag.
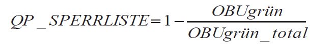
3.3 Sperrlistenquote (QP_SPERRLISTE)
Eine wesentliche Anforderung der Gebietsvorgaben ist die technische Sperrung eines EETS-Fahrzeuggeräts (Signalisierung fehlender Betriebsbereitschaft im Mautgebiet Deutschland), bevor dieses durch den EETS-Anbieter auf die Sperrliste (Blocklist) und an den Mauterheber übermittelt wird. Dies ist wesentlich, da die Verteilung der Sperrlisten im System des Mauterhebers nicht unmittelbar erfolgt.
Ziel der Quote ist die Messung der Anzahl der Fahrzeuge, die Betriebsbereitschaft signalisieren (Zustand grün), jedoch auf der Sperrliste aufgeführt sind.
Durch folgende Formel wird der Qualitätsparameter QP_SPERRLISTE bestimmt:
 |
| Für den betrachteten Zeitraum und für die betrachteten Streckenabschnitte sind die Variablen wie folgt definiert: |
| OBUgrün_total = Anzahl erfasste betriebsbereite EETS-FzG eines Anbieters (SST 301/ ISO 12813: StatusIndicator = go (1) bedeutet, dass das FzG einen betriebsbereiten Status anzeigt). |
| OBUgrün = Anzahl erfasste betriebsbereite EETS-FzG, welche zum Zeitpunkt der Erfassung in der Sperrliste des EETS-Anbieters aufgelistet sind. |
3.3.1 Messdatenerhebung und Messdatenauswertung
Die Durchführung von Messungen erfolgt durch den Mauterheber auf Basis der im System des Mauterhebers vorliegenden Daten der vom EETS-Anbieter übermittelten Sperrlisten sowie im Rahmen von Kontrollen erfassten DSRC-Daten. Die Messdatenerhebung erfolgt nicht anhand einer Stichprobe, sondern es werden alle in einem Kalendermonat oder in einem vertraglich relevanten Betrachtungszeitraum gelieferten Datensätze in die Messdatenerhebung einbezogen.
Dabei prüft der Mauterheber, ob für ein Bordgerät, für das DSRC-Daten vorliegen und der Statusindikator den Wert go (1) hat, ein Eintrag auf der zum jeweiligen Zeitpunkt der DSRC-Auslesung im System des Mauterhebers vorliegenden Sperrliste des EETS-Anbieters vorliegt. Dies gilt als Schlechtfall. Bei der Ermittlung der Quote QP_SPERRLISTE wird jedoch ein erhebungsbereites Bordgerät nicht als Schlechtfall gewertet, wenn für dieses auf der nächsten auf den Kontrollzeitpunkt folgenden vom EETS-Anbieter übermittelten Sperrliste kein Eintrag für dieses Bordgerät mehr vorhanden war.
Die Quote QP_SPERRLISTE wird für jeden Kalendermonat durch den Mauterheber festgestellt und auf drei Stellen nach dem Komma kaufmännisch gerundet.
Die Messdatenauswertung erfolgt durch den Mauterheber. Der Mauterheber stellt dem EETS-Anbieter spätestens 30 Tage nach Ende des Kalendermonats die ermittelte Quote QP_SPERRLISTE sowie Informationen und die zugrunde gelegten eigenen Daten zu identifizierten Schlechtfällen zur Verfügung. Der EETS-Anbieter kann diese Informationen und Daten prüfen und dem Mauterheber das Ergebnis seiner Prüfung sowie eventuelle Einwendungen innerhalb von 30 Tagen nach Übermittlung der Ergebnisse durch den Mauterheber übermitteln. Einwendungen gegen das vom Mauterheber übermittelte Ergebnis sind nur insoweit zulässig, als der EETS-Anbieter nachweist, dass die Ermittlung der Quote entgegen den Vorgaben dieses Anhangs QP sowie ggf. der Verfahrensbeschreibung erfolgt ist oder die zugrunde gelegten eigenen Daten des Mauterhebers unrichtig sind. Der Mauterheber wird das Ergebnis der Prüfung durch den EETS-Anbieter innerhalb von weiteren 30 Tagen prüfen und die Quote für den jeweiligen Kalendermonat endgültig feststellen und in Form eines Berichts übermitteln. Der Mauterheber behält sich vor, weitere Details der praktischen Umsetzung der Messdatenerhebung und Messdatenauswertung in einer verbindlichen Verfahrensbeschreibung festzulegen, die sich innerhalb des in diesem Anhang QP vorgegebenen Rahmens bewegt.
Der EETS-Anbieter muss einen Zielwert für QP_SPERRLISTE von mindestens 99,900 % erreichen. Die Sperrlistenquote wird für jeden Kalendermonat gemessen, durch den Mauterheber festgestellt und auf drei Stellen nach dem Komma kaufmännisch gerundet.
Für jeden Schlechtfall gemäß Nummer 3.3.1 Absatz 2, der die 99,900 % im relevanten Betrachtungszeitraum unterschreitet, wird dem EETS-Anbieter eine Vertragsstrafe von 1 000 Euro verhängt. Der relevante Betrachtungszeitraum beträgt 1 Kalendermonat.
3.4 Nutzerlistenquote (QP_NUTZERLISTE)
Ein Eintrag auf der Nutzerliste (Userlist) und die korrekte und rechtzeitige Übermittlung dieser Liste (Schnittstelle 002a) an den Mauterheber ist eine wichtige Voraussetzung für die Verarbeitung von abschnittsbezogenen Erhebungsdaten und Mautbuchungsnachweisen der Nutzer im System des Mauterhebers. Ziel der Quote ist die Messung der Qualität der Erstellung und Übermittlung der Nutzerliste vom EETS-Anbieter an den Mauterheber. Die Messung erfolgt unter Heranziehung von DSRC-Auslesungen von Fahrzeugen des EETS-Anbieters und dem Vergleich mit den übermittelten Daten auf der Nutzerliste.
Durch folgende Formel wird der Qualitätsparameter QP_NUTZERLISTE bestimmt:
 |
| Dabei sind die Variablen für den jeweilig betrachteten Zeitraum wie folgt definiert: |
| USER-IDkeinNutzer = Anzahl straßenseitig erfasster und in der Nutzerliste unter Berücksichtigung des Gültigkeitszeitraums der Nutzerdaten nicht gefundene User-IDs innerhalb des Beobachtungszeitraums, wobei eine mehrfach aufgefundene User-ID nur einmal zählt. |
| USER-IDerfasst = Anzahl straßenseitig erfasster User-IDs innerhalb des Beobachtungszeitraums. |
3.4.1 Messdatenerhebung und Messdatenauswertung
Die Durchführung von Messungen erfolgt durch den Mauterheber auf Basis der im System des Mauterhebers vorliegenden Daten der vom EETS-Anbieter übermittelten Nutzerlisten sowie im Rahmen von Kontrollen erfassten DSRC-Daten. Die Messdatenerhebung erfolgt nicht anhand einer Stichprobe, sondern es werden alle in einem Kalendermonat oder in einem vertraglich relevanten Betrachtungszeitraum gelieferten Datensätze in die Messdatenerhebung einbezogen.
Dabei prüft der Mauterheber, ob für ein Bordgerät, für das DSRC-Daten vorliegen und der Statusindikator den Wert go (1) hat, ein Eintrag auf der zum jeweiligen Zeitpunkt der DSRC-Auslesung im System des Mauterhebers vorliegenden Nutzerliste des EETS-Anbieters vorliegt. Dies gilt als Gutfall. Alle anderen Fälle gelten als Schlechtfälle.
Die Quote QP_NUTZERLISTE wird für jeden Kalendermonat durch den Mauterheber festgestellt und auf drei Stellen nach dem Komma kaufmännisch gerundet.
Die Messdatenauswertung erfolgt durch den Mauterheber. Der Mauterheber stellt dem EETS-Anbieter spätestens 30 Tage nach Ende des Kalendermonats die ermittelte Quote QP_NUTZERLISTE sowie Informationen und die zugrunde gelegten eigenen Daten zu identifizierten Schlechtfällen zur Verfügung. Der EETS-Anbieter kann diese Informationen und Daten prüfen und dem Mauterheber das Ergebnis seiner Prüfung sowie eventuelle Einwendungen innerhalb von 30 Tagen nach Übermittlung der Ergebnisse durch den Mauterheber übermitteln. Einwendungen gegen das vom Mauterheber übermittelte Ergebnis sind nur insoweit zulässig, als der EETS-Anbieter nachweist, dass die Ermittlung der Quote entgegen den Vorgaben dieses Anhangs QP sowie gegebenfalls. der Verfahrensbeschreibung erfolgt ist oder die zugrunde gelegten eigenen Daten des Mauterhebers unrichtig sind. Der Mauterheber wird das Ergebnis der Prüfung durch den EETS-Anbieter innerhalb von weiteren 30 Tagen prüfen und die Quote für den jeweiligen Kalendermonat endgültig feststellen und in Form eines Berichts übermitteln. Der Mauterheber behält sich vor, weitere Details der praktischen Umsetzung der Messdatenerhebung und Messdatenauswertung in einer verbindlichen Verfahrensbeschreibung festzulegen, die sich innerhalb des in diesem Anhang QP vorgegebenen Rahmens bewegt.
Der EETS-Anbieter muss einen Zielwert für QP_NUTZERLISTE von mindestens 99,900 % erreichen. Die Nutzerlistenquote wird für jeden Kalendermonat gemessen, durch den Mauterheber festgestellt und auf drei Stellen nach dem Komma kaufmännisch gerundet.
Für jeden Schlechtfall gemäß Nummer 3.4.1 Absatz 2, der die 99,900 % im relevanten Betrachtungszeitraum unterschreitet, wird dem EETS-Anbieter eine Vertragsstrafe von 500 Euro verhängt. Der relevante Betrachtungszeitraum beträgt 1 Kalendermonat.
3.5 Fahrspurquote (QP_FS)
(weggefallen)
Die Quote der Lieferung der Fahrspuren (QP_FS) misst, wie viele Fahrspuren rechtzeitig im System des nationalen Mautbetreibers empfangen wurden.
Die Quote wird mit der folgenden Formel ermittelt:
 |
| mit |
| | - •
FS_rechtzeitig - rechtzeitig eingegangene Fahrspuren des EETS-Anbieters im System des nationalen Mautbetreibers. Fahrspuren (FS) gelten als rechtzeitig im System des nationalen Mautbetreibers eingetroffen, wenn die zeitliche Differenz zwischen dem Zeitpunkt der ersten Position der Fahrspur und dem Eingang der Fahrspur im System des nationalen Mautbetreibers über die Schnittstelle 005 höchstens die vom Mauterheber in Anlage 1 „Zusatzvereinbarung“ des EETS-Zulassungsvertrags vorgegebene Zeit beträgt. Fahrspuren gelten als nicht eingetroffen, wenn sie mit einer synchronen oder asynchronen Fehlermeldung quittiert werden. - •
FS_alle - alle im System des nationalen Mautbetreibers eingegangenen Fahrspuren des EETS-Anbieters
|
Die Quote der Lieferung der Fahrspuren wird jeweils für den Kalendermonat durch den Mauterheber ermittelt. Die Messdatenauswertung erfolgt durch den Mauterheber. Der Mauterheber stellt dem EETS-Anbieter spätestens 30 Tage nach Ende des Kalendermonats die ermittelte Quote sowie Informationen und die zugrunde gelegten eigenen Daten zu identifizierten Schlechtfällen zur Verfügung. Der EETS-Anbieter kann diese Informationen und Daten prüfen und dem Mauterheber das Ergebnis seiner Prüfung sowie eventuelle Einwendungen innerhalb von 30 Tagen nach Übermittlung der Ergebnisse durch den Mauterheber übermitteln. Einwendungen gegen das vom Mauterheber übermittelte Ergebnis sind nur insoweit zulässig, als der EETS-Anbieter nachweist, dass die Ermittlung der Quote entgegen den Vorgaben dieses Anhangs QP sowie ggf. der Verfahrensbeschreibung erfolgt ist oder die zugrunde gelegten eigenen Daten des Mauterhebers unrichtig sind. Der Mauterheber wird das Ergebnis der Prüfung durch den EETS-Anbieter innerhalb von weiteren 30 Tagen prüfen und anschließend die Quote für den Kalendermonat endgültig feststellen und in Form eines Berichts übermitteln.
Fahrspuren, die verspätet im System des nationalen Mautbetreibers eingetroffen sind, weil das System des nationalen Mautbetreibers für eine Entgegennahme von Fahrspuren nicht verfügbar war, werden bei der Ermittlung der Quote nicht berücksichtigt.
Fahrspuren, die verspätet im System des nationalen Mautbetreibers eingetroffen sind, weil das System des EETS-Anbieters nicht für eine Versendung von Fahrspuren verfügbar war, weil der EETS-Anbieter Maßnahmen an diesem System unter Einhaltung seiner vertraglichen Verpflichtungen aus dem Zulassungsvertrag durchgeführt hat, werden bei der Ermittlung der Quote nicht berücksichtigt.
Der Mauterheber behält sich vor, weitere Details der praktischen Umsetzung der Messdatenerhebung und Messdatenauswertung unter Beteiligung des EETS-Anbieters in einer verbindlichen Verfahrensbeschreibung festzulegen, die sich innerhalb des in diesem Anhang QP vorgegebenen Rahmens bewegt.
Der EETS-Anbieter muss einen Zielwert für QP_FS von mindestens 99,000 % erreichen. Die Fahrspurquote wird kalendermonatlich durch den Mauterheber als Zwischenergebnis festgestellt, auf drei Stellen nach dem Komma kaufmännisch gerundet und dem EETS-Anbieter in Form eines Berichts zur Verfügung gestellt.
Für jede verspätete Fahrspur, die zu einer Unterschreitung des Zielwerts der Quote von 99,000 % im relevanten Betrachtungszeitraum führt, wird gegenüber dem EETS-Anbieter eine Vertragsstrafe von 10 Euro verhängt. Der relevante Betrachtungszeitraum beträgt ein Kalenderjahr. Eine Vertragsstrafe ist nicht fällig, wenn die Quote im relevanten Betrachtungszeitraum mindestens 99,000 % beträgt.
3.6 Übermittlung von Tagesberichten
Die korrekte und rechtzeitige Übermittlung von Tagesberichten ist wesentlich für die Einnahmeprüfung des Mauterhebers. Dafür werden keine separaten Quoten berechnet. Die Anzahl der nicht rechtzeitig und/oder nicht korrekt übermittelten Tagesberichte wird dem EETS-Anbieter in Form eines monatlichen Berichts zur Verfügung gestellt.
Vielmehr werden Vertragsstrafen fällig, falls Tagesberichte entsprechend der Schnittstellenspezifikation 008 nicht rechtzeitig und korrekt übermittelt werden. Tagesberichte gelten als nicht korrekt, wenn sie vom Mauterheber im Rahmen der fachlichen Prüfung mit einem Fehler an den EETS-Anbieter zurückgemeldet werden. Tagesberichte werden nicht als inkorrekt gewertet, wenn sie innerhalb der vertraglich vereinbarten Fristen erneut und korrekt übermittelt werden. Tagesberichte, die verspätet beim Mauterheber eingetroffen sind, weil das System des Mauterhebers für eine Entgegennahme von Tagesberichten nicht verfügbar war, werden bei der Ermittlung der Quote nicht berücksichtigt.
Je verspätetem oder inkorrektem Tagesbericht wird dem EETS-Anbieter eine Vertragsstrafe von 100 Euro berechnet.
4. Bestimmungen zu den Audits
- 1.
Der Mauterheber ist berechtigt auf eigene Veranlassung und auf eigene Rechnung beim EETS-Anbieter Audits durch Dritte durchführen zu lassen. Die Audits müssen zumindest sieben Werktage vor Beginn des Audits durch den Mauterheber beim EETS-Anbieter angekündigt werden.
- 2.
Audits des Mauterhebers dienen der Überprüfung der ordnungsgemäßen Einhaltung der Gebietsvorgaben und umfassen insbesondere folgende Themen:
- 1.
die Beachtung der Bundeshaushaltsordnung,
- 2.
die Einhaltung von Datenschutzbestimmungen und die Einhaltung von Archivierungspflichten,
- 3.
die Vollständigkeit abrechnungsrelevanter Daten,
- 4.
die Korrektheit von Nutzer- und Fahrzeugdaten in den Systemen des EETS-Anbieters,
- 5.
die Überprüfung von technischen Vorfällen und Fehlern der technischen Systeme des EETS-Anbieters zur Sicherstellung eines adäquaten Risikomanagements auf Seiten des Mauterhebers,
- 6.
Überprüfungen im Zuge einer technischen Störung.
- 3.
Der EETS-Anbieter hat die Durchführung der Audits aktiv zu unterstützen. Dazu gehören die Bereitstellung aller angeforderten Informationen und die Durchführung von Interviews mit informierten und qualifizierten Mitarbeitern auf eigene Kosten. Außerdem sind Räumlichkeiten und Computer mit Zugang zu allen relevanten Daten für die Dauer des Audits zur Verfügung zu stellen.
- 4.
Zum Abschluss eines Audits wird ein Bericht erstellt. Der Audit-Bericht muss klare Empfehlungen für Maßnahmen zur Behebung von Mängeln bezogen auf die Einhaltung der Gebietsvorgaben enthalten, sofern dies notwendig ist. Die Empfehlungen sind verbindlich und ihnen muss innerhalb der im Bericht verfassten Fristen entsprochen werden. Der EETS-Anbieter kann innerhalb von 21 Tagen nach Erhalt des Audit-Berichts Widerspruch einlegen und dem Mauterheber konkrete eigene Vorschläge unterbreiten, wie er den ordnungsgemäßen Zustand wiederherstellen wird. Der Mauterheber wird die Vorschläge prüfen und annehmen oder sie aus sachlichem Grund ablehnen.
Wird den Empfehlungen des Audit-Berichtes innerhalb der im Bericht verfassten Fristen nicht entsprochen, wird für jeden Tag ab Fristablauf eine Vertragsstrafe in Höhe von 1 000 Euro verhängt. Im Falle eines erfolglosen Widerspruches gegen den Audit-Bericht gilt dieselbe Rechtsfolge wie in Satz 5, 2. Halbsatz, wobei die im Audit-Bericht genannte Frist erst zu laufen beginnt, nachdem der Widerspruch aus sachlichem Grund abgelehnt wurde. Im Falle eines erfolgreichen Widerspruches gegen den Audit-Bericht wird für jeden Tag, nachdem die angenommenen Vorschläge nicht innerhalb der abgestimmten Fristen umgesetzt werden, eine Vertragsstrafe in Höhe von 1 000 Euro verhängt.